伏安極譜法在海水監測領域的應用
基本の原理
上期我們聊到伏安法,知道了是捷克化學家Heyrovsky發明了極譜技術后,才促進了伏安法的廣泛應用。那么今天我們來聊聊極譜法到底是一個什么樣的神奇方法呢?
簡單說,極譜法就是一種特殊的伏安法,它使用滴汞電極或其他表面能周期性更新的液體電極(作為陰極)取代傳統的表面不能自我更新的固態(或液態)電極而作為工作電極(極化電極)。
極譜法一般采用三電極系統:
對電極:Pt電極
參比電極:飽和甘汞電極(SCE)或Ag-AgCl電極
工作電極:滴汞控制裝置(0.5-10秒一滴),玻璃毛細管(內徑20-100 μm)
同時,還需通入氮氣,脫去溶液中的氧氣。
這種滴汞工作電極,因為面積很小,在電解時電流密度就會很大,電極附近的可還原物質(如金屬陽離子,Cd2+、Fe3+等)的濃度幾乎為零,于是因溶液中的濃度差而產生了濃差極化。此時,當我們控制恒定的電位進行電解時,所測得的極限擴散電流(Limiting Diffusion current)就與被測的可還原物質的濃度成正比關系,同時根據極限電流的躍升電位(半波電位,Half-wave potential),就可以對被測物質進行定性和定量了。

定量:Id(極限擴散電流)=Il(極限電流) - Ir(殘余電流)
廣泛の應用
極譜法因其簡便、快速、操作簡單、成本低等優點,被廣泛應用于各行各業的日常檢測監測工作中。
目前,我國現行與極譜法相關的國家標準并不多,約15個,主要應用在環境水質、合金、礦石分析領域:
No. | 標準號 | 標準名稱 | 實施日期 |
1 | 2020年7月1日 | ||
2 | 2018年4月1日 | ||
3 | 2018年4月1日 | ||
4 | 2018年4月1日 | ||
5 | 2014年7月1日 | ||
6 | 2011年2月1日 | ||
7 | 2011年2月1日 | ||
8 | 2008年11月1日 | ||
9 | 2004年10月1日 | ||
10 | 1993年9月1日 | ||
11 | 1993年9月1日 | ||
12 | 1993年9月1日 | ||
13 | 1989年4月1日 | ||
14 | 1988年6月1日 | ||
15 | GB 17378.4-2007 | 海洋監測規范 第4部分:海水分析 | 2008年5月1日 |
極譜法更多的在行業領域應用較為廣泛,現行約24個行業標準:
No. | 標準號 | 標準名稱 | 行業領域 | 實施日期 |
1 | HG/T 5564-2019 | 化工 | 2020年7月1日 | |
2 | DZ/T 0279.20-2016 | 地質礦產 | 2016年12月1日 | |
3 | YS/T 1288.2-2018 | 有色金屬 | 2019年4月1日 | |
4 | EJ/T 862-1994 | 核工業 | 1994年12月1日 | |
5 | YS/T 34.3-2011 | 有色金屬 | 2012年7月1日 | |
6 | DL/T 1202-2013 | 電力 | 2013年8月1日 | |
7 | YS/T 536.9-2009 | 有色金屬 | 2010年6月1日 | |
8 | YS/T 34.2-2011 | 有色金屬 | 2012年7月1日 | |
9 | EJ/T 752-1993 | 核工業 | 1993年10月1日 | |
10 | DZ/T 0064.41-1993 | 地質礦產 | 1993年10月1日 | |
11 | DZ/T 0064.18-1993 | 地質礦產 | 1993年10月1日 | |
12 | WS/T 150-1999 | 衛生 | 2000年5月1日 | |
13 | DZ/T 0064.19-1993 | 地質礦產 | 1993年10月1日 | |
14 | DZ/T 0064.37-1993 | 地質礦產 | 1993年10月1日 | |
15 | DZ/T 0064.16-1993 | 地質礦產 | 1993年10月1日 | |
16 | DZ/T 0064.35-1993 | 地質礦產 | 1993年10月1日 | |
17 | JB 5224-1991 | 機械 | 1992年7月1日 | |
18 | DZ/T 0064.33-1993 | 地質礦產 | 1993年10月1日 | |
19 | DZ/T 0064.34-1993 | 地質礦產 | 1993年10月1日 | |
20 | DZ/T 0064.40-1993 | 地質礦產 | 1993年10月1日 | |
21 | SN/T 3627-2013 | 出入境檢驗檢疫 | 2014年3月1日 | |
22 | WS/T 35-1996 | 衛生 | 1997年5月1日 | |
23 | WS/T 91-1996 | 衛生 | 1997年9月1日 | |
24 | WS/T 108-1999 | 衛生 | 1999年7月1日 |
極譜法也少量出現在地方標準中:
No. | 標準號 | 標準名稱 | 地方 | 實施日期 |
1 | DB21/T 3081-2018 | 海水中銅、鎘、鉛、鋅的連續測定-極譜法 | 遼寧省 | 2019年1月25日 |
2 | DB34/T 2127.9-2014 | 區域地球化學調查樣品分析方法 第9 部分:催化極譜法鎢、鉬含量的測定 | 安徽省 | 2014年7月24日 |
在生態環境監測海水中の應用
我國是一個海洋資源大國,正常自然條件下,海水中的重金屬含量是很低的,是不會對海洋生態造成影響的。然而,隨著人類社會的經濟活動,越來越多的工業廢水和生活污水被排入到海洋中,由于廢水和污水中含有大量的重金屬污染物,排入到海洋中后被海洋中的浮游生物吸收,進入到生物鏈中,對海洋中的生物造成了很大的影響,在通過食物鏈影響到人類健康。因此,對海水中重金屬含量的監測檢測,快速而準確地掌握海水中痕量重金屬元素的動態變化,是生態環境監測的重要任務之一。
目前常用的監測方法有原子熒光法、原子吸收法、X熒光法、ICP-MS法、陽極溶出法。但由于海水中含有大量的鹽,如NaCl、MgCl2,且基體復雜,對于采用原子熒光、原子吸收、ICP等光譜分析法及其儀器產生了嚴重影響(造成高光譜干擾、高化學干擾、堵塞進樣組件、腐蝕管路等),因此必須對海水樣品進行繁瑣的預處理。而伏安極譜法卻是天生不受高鹽度影響(海水中大量的鹽分有助于消除遷移電流的影響),于是成為了檢測海水的理想方法。
目前,在海水中重金屬檢測方面有兩個主要的標準:
《GB 17378.4-2007 海洋監測規范 第4部分:海水分析》
《DB21/T 3081-2018 海水中銅、鎘、鉛、鋅的連續測定 - 極譜法》
以2019年1月25日遼寧省發布實施的《DB21/T 3081-2018 海水中銅、鎘、鉛、鋅的連續測定 - 極譜法》標準為例,該標準采用極譜法,那就讓我們看看AMEL 4330系統是如何應用在海水中金屬離子的檢測中的。
儀器配置:
AMEL 4330或4330/P工作電極WE:汞電極
參比電極RE:Ag/AgCl電極
對電極CE:Pt電極


模式:DPS
掃描電位范圍:-1.15~0.00 V
富集電位:-1.15 V
富集時間:120~300 s
脈沖幅度:0.05 V
氮吹時間:300 s
掃描速率:10~100 mV/s
特征峰電壓:Cu -0.30 V、Cd -0.72 V、Pb -0.52 V、Zn -1.10 V
操作步驟:
1.樣品前處理:用HNO3或NaOH調節海水樣品pH=4.00~6.00范圍,并通過恒溫水浴鍋控制溫度在10.0~35.0 ℃;如果海水樣品中有明顯的漂浮物等雜質,采用0.45 μm水性濾膜過濾。
2.準確量取10.00 mL樣品于反應池中測定,記錄Cu、Cd、Pb、Zn的峰電流值,再參考本底測定值選擇并加入10.0~200 μL Cu、Cd、Pb、Zn標準混合使用溶液后測定,并記錄加標后Cu、Cd、Pb、Zn的峰電流值。
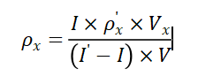
結果計算:
海水樣品中Cu、Cd、Pb、Zn的濃度分別按下式計算:


I - 加入標準混合使用溶液前Cu、Cd、Pb、Zn的峰電流值,nA;

Vx - 加入銅、鎘、鉛、鋅標準混合使用溶液的體積,μL;
I’ - 加入銅、鎘、鉛、鋅標準混合使用溶液后Cu、Cd、Pb、Zn的峰電流值,nA;
V - 測定用海水樣品的體積,mL。
總結
極譜法因其檢測原理決定,先天具有高選擇性、抗干擾性、耐高鹽背景,非常適用于復雜液體樣品中的離子檢測,無需繁瑣的樣品前處理,操作簡便快速,靈敏度高,運行成本低,能夠滿足對地表水、地下水、海水等水質的日常環境檢測監測需求。
理化(香港)有限公司是Amel極譜儀產品在中國地區的授權代理。理化有限公司(香港)是專業的理化實驗室儀器代理商,擁有多年的科研儀器銷售和服務經驗,廣泛服務于教育科研機構、知名企業和政府機構。
歡迎咨詢!